23 Juli 2025
14:30 WIB
Mengenal Prinsip Bernoulli Di Balik Gerakan Fluida
Kenapa pesawat bisa terbang dan air bisa menyembur deras? Semua jawabannya tersembunyi dalam satu prinsip fisika yang luar biasa: Prinsip Bernoulli!
Penulis: Besyandi Mufti
Editor: Rikando Somba
Ilustrasi Prinsip Bernoulli pada manuver pesawat Bonanza G-36 milik Skuadron 200 Wing Udara 2 Puspenerbal di Surabaya, Jawa Timur, Rabu (8/6/2022). ANTARA FOTO/Umarul Faruq
Pernahkah Anda bertanya-tanya mengapa pesawat bisa terbang, cerobong asap bisa menghisap udara, atau air bisa menyembur deras dari galon saat dibuka? Semua fenomena ini memiliki satu benang merah, Prinsip Bernoulli. Prinsip ini menjelaskan bagaimana tekanan, kecepatan, dan ketinggian dalam fluida saling berkaitan.
Singkatnya, semakin cepat fluida bergerak, semakin rendah tekanannya. Prinsip ini menjadi dasar penting dalam dunia teknik, penerbangan, hingga berbagai alat pengukur aliran.
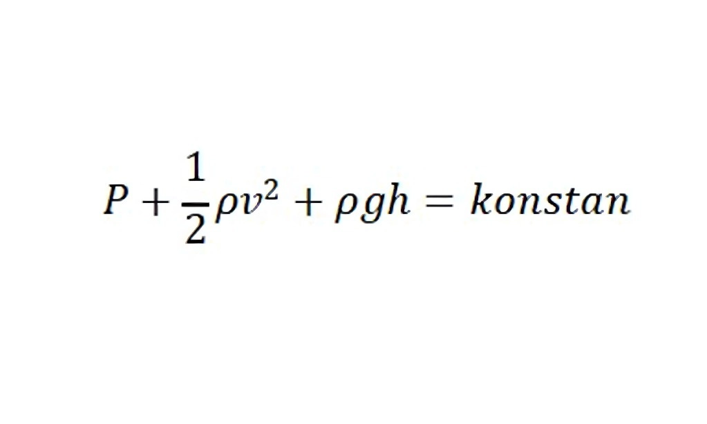
Apa itu Prinsip Bernoulli? Secara matematis, prinsip Bernoulli tertuang dalam persamaan, sebagai berikut:

Di rumus ini, P adalah tekanan, ρ massa jenis, v kecepatan, g percepatan gravitasi, h ketinggian. Artinya, dalam aliran fluida yang stabil dan tanpa gesekan (ideal), jumlah energi tekanan, energi kinetik, dan energi potensial tetap konstan sepanjang jalur alirannya. Maka, ketika salah satu komponen meningkat, yang lain akan menurun untuk menjaga keseimbangan.
Prinsip ini tidak muncul begitu saja. Ia merupakan hasil turunan dari hukum kekekalan energi dan hukum Newton II. Tekanan yang lebih tinggi di suatu titik akan "mendorong" fluida ke arah tekanan yang lebih rendah. Dan, kecepatan fluida pun akan berubah sebagai akibatnya. Inilah yang membuat Bernoulli menjadi pilar penting dalam memahami dinamika fluida.
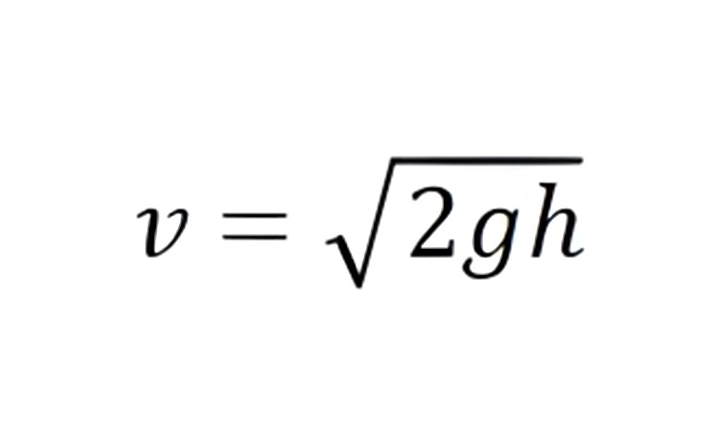
Salah satu penerapan prinsip Bernoulli yang paling terkenal datang dari ilmuwan Italia, Evangelista Torricelli. Ia mengamati bahwa air yang keluar dari lubang wadah akan melesat dengan kecepatan yang bisa dihitung berdasarkan tinggi permukaan air dari lubang. Rumusnya sederhana:

Inilah yang kita kenal sebagai Hukum Torricelli, dan bisa dianggap sebagai bentuk khusus dari prinsip Bernoulli.
Penerapan Prinsip Bernoulli
Prinsip Bernoulli juga akrab kita temui dalam kehidupan sehari-hari. Cerobong asap, misalnya, memanfaatkan aliran udara cepat di bagian atas untuk menciptakan tekanan rendah, sehingga asap dari bawah bisa naik. Sayap pesawat dirancang dengan bentuk melengkung agar udara di atasnya bergerak lebih cepat, menciptakan tekanan rendah yang mengangkat pesawat. Bahkan karburator di kendaraan bekerja dengan prinsip serupa—udara yang mengalir cepat menyedot bahan bakar ke dalam ruang bakar.
Tak hanya buatan manusia, alam pun memanfaatkan Prinsip Bernoulli.
Tikus tanah, misalnya, menggali dua lubang di tempat berbeda ketinggian untuk menciptakan aliran udara di dalam sarangnya. Bahkan bola cricket yang dilempar bisa membelok di udara karena perbedaan tekanan di kedua sisinya akibat variasi kecepatan udara—fenomena ini disebut swing.
Kesalahpahaman Terhadap Prinsip Bernoulli
Meski banyak bermanfaat, Prinsip Bernoulli juga kerap disalahpahami. Salah satu miskonsepsi paling umum adalah anggapan bahwa udara yang melewati atas dan bawah sayap harus tiba bersamaan di ujung belakang. Padahal tidak begitu. Yang benar adalah bentuk sayap menyebabkan aliran atas lebih cepat, sehingga tekanan lebih rendah dan menghasilkan gaya angkat.
Juga penting untuk dicatat bahwa Prinsip Bernoulli hanya berlaku di sepanjang satu jalur aliran (streamline)—tidak bisa digunakan untuk membandingkan dua aliran berbeda secara langsung.
Untuk membantu memahami prinsip ini, banyak sekolah dan universitas menggunakan alat peraga sederhana. Salah satunya adalah eksperimen dua botol berisi air yang dihubungkan selang. Ketika tinggi air berbeda, air mengalir dari botol yang lebih tinggi ke yang lebih rendah. Begitu permukaannya sejajar, aliran berhenti. Alat ini membuktikan bahwa perbedaan tekanan dipicu oleh beda ketinggian, dan kecepatan alirannya mengikuti hukum Torricelli.
Di balik rumus dan istilah teknisnya, prinsip Bernoulli mengajarkan kita bahwa fluida pun memiliki "logika gerak" yang konsisten. Dari dapur, laboratorium, hingga langit, prinsip ini menjelaskan banyak hal yang sebelumnya terasa ajaib. Namun, seperti halnya ilmu lainnya, pemahaman yang tepat sangat penting agar tidak terjebak pada penafsiran yang keliru.
Referensi: